
به نام خدا
هدایت خودکار ربات های پرنده
جلسه چهارم
یادداشت :
– عددی
![]()
– برداری
![]()
– ماتریسی
![]()
بردار ها :
بردار و مختصات های آن


یک بردار می تواند یک نقطه را در فضای n بعدی نشان دهد .
عملیات بر روی بردار ها :
– ضرب عددی
– جمع و تفریق

– طول بردار

![]()
– بردار نرمالیزه شده


– ضرب داخلی ( ضرب نقطه ای )


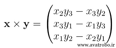
– ضرب خارجی

![]()

ماتریس های مورد استفاده در محاسبات ربات های پرنده :
– مربع ماتریس
– ماتریس قطری ( همه درایه های ماتریس غیر از درایه های قطر اصلی صفر هستند )
– ماتریس متقارن
![]()
– ماتریس پاد متقارن
![]()
– ماتریس متعامد
![]()
– ضرب ماتریس ها
![]()
– معکوس ماتریس
![]()
– ترانهاده ماتریس
![]()
پایان جلسه سوم
WWW.AVATROBO.IR
تهیه کننده آرش روشنی
پخش این جلسه های آموزشی در سایت های مختلف به شرط عدم دست کاری(حفظ منبع انتشار) بلامانع می باشد.
برای مشاهده کامل این جلسه آموزش ربات های پرنده ، فایل PDF زیر را دانلود کنید .
دانلود فایل
دیدگاهها (0)